O concurso TJ RJ tem dois editais publicados, sob organização da Fundação Getúlio Vargas (FGV). O primeiro edital é voltado para a carreira de Técnico Judiciário, que exige diploma de nível médio, enquanto o segundo edital é voltado para o cargo de Analista Judiciário, que exige superior em áreas como Direito, Administração, Tecnologia da Informação, Psicologia e Serviço Social.
O Técnico Judiciário possui remuneração inicial de R$ 5.685,54 e o Analista Judiciário possui remuneração inicial de R$ 9.363,84, além dos benefícios.
As inscriões serão realizadas entre os dias das 16h de 29 de outubro até as 16h de 27 de novembro, no site da FGV. A taxa de inscrição varia de R$100,00 a R$140,00. As provas estão marcadas para 1º de fevereiro de 2026. Confira, a seguir, os salários, benefícios e progressão de carreira dos aprovados no concurso TJ RJ!
Índice
Salário do concurso TJ RJ
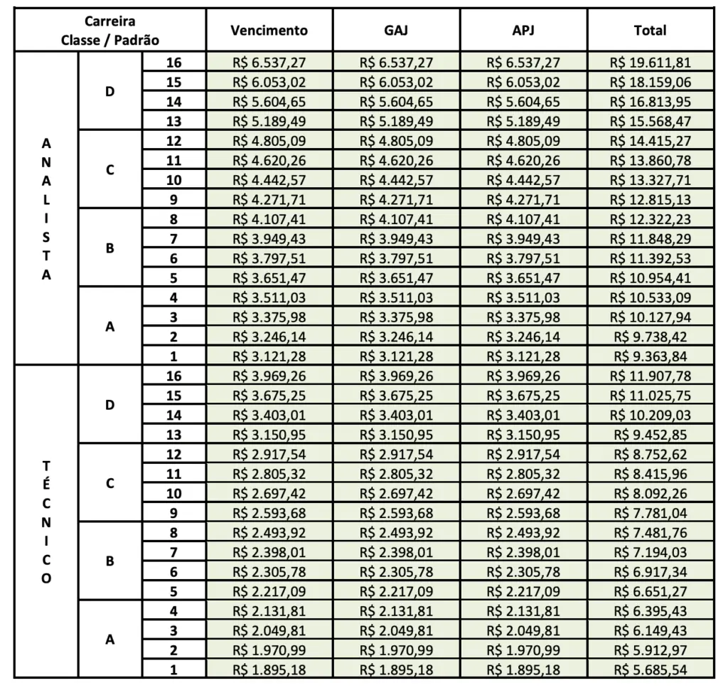
Os aprovados para o cargo de Técnico de Atividade Judiciária, que exige ensino médio completo, iniciam a carreira com remuneração de R$ 5.685,54. O valor é composto pelo vencimento básico, pela Gratificação de Atividade Judiciária (GAJ) e pelo Adicional de Padrão Judiciário (APJ).
Para o cargo de Analista Judiciário, que requer formação de nível superior, o salário inicial é de R$ 9.363,84, também formado pelas mesmas parcelas. No caso dos Analistas da especialidade Execução de Mandados, há ainda uma verba indenizatória adicional de R$ 3.242,58, referente à gratificação de locomoção, concedida em razão das atividades externas desempenhadas.
Com o passar do tempo e a progressão na carreira, os servidores podem alcançar remunerações superiores a R$ 19 mil mensais.
A carreira de Técnico é estruturada em quatro classes — A, B, C e D —, com progressões salariais que elevam gradualmente os ganhos. Já os Analistas seguem o mesmo modelo, com quatro classes e 16 padrões de avanço na carreira. Veja a tabela com a estrutura remuneratória a seguir:
Prepare-se para o concurso do TJ RJ com organização e qualidade: vídeo aulas, plano de estudos personalizado e suporte de tutoria especializada – tudo 100% Gratuito!
LIBERAR ACESSO!
Com o edital previsto para outubro, o momento é de intensificar a preparação e garantir vantagem na disputa pelas vagas. Preparamos um curso online 100% gratuito com foco nas principais disciplinas do concurso TJ RJ. Garanta aqui o seu acesso!
Gratificações e adicionais
Os servidores aprovados no concurso TJ RJ recebem duas gratificações fixas:
- Gratificação de Atividade Judiciária (GAJ);
- Adicional de Padrão Judiciário (APJ).
Além disso, há o Adicional de Qualificação, previsto na Lei Estadual nº 9.748/2022, que não é cumulativo e pode aumentar a remuneração conforme o nível de formação acadêmica do servidor:
- 7,5% para graduação;
- 10% para especialização;
- 12,5% para mestrado;
- 15% para doutorado.
Para os Analistas da especialidade Execução de Mandados, o artigo 17 da mesma lei garante o pagamento mensal de R$ 3.242,58 a título de gratificação de locomoção, enquanto o servidor estiver exercendo as atividades externas do cargo.
Progressões e crescimento na carreira
O plano de carreira do TJ RJ estabelece progressões que ocorrem, em média, a cada 1 ano e meio, com exceção da primeira, que acontece após três anos, ao final do estágio probatório.
As regras de evolução são as seguintes:
- Da classe A1 até a C12, cada promoção representa um aumento de 4% na remuneração;
- Da classe D13 até a D16, os reajustes passam a ser de 8% por progressão.
Com 16 padrões no total, o servidor pode alcançar o topo da carreira em cerca de 25 anos e meio, consolidando uma trajetória profissional estável, com crescimento contínuo e ganhos significativos ao longo do tempo.
Benefícios do concurso TJ RJ
Além dos altos salários, os servidores do Tribunal de Justiça do Rio de Janeiro contam com um pacote de benefícios bastante competitivo, que reforça o atrativo das carreiras no órgão. Os auxílios garantem mais qualidade de vida, segurança financeira e apoio às necessidades pessoais e familiares dos profissionais.
A seguir, veja todos os benefícios disponíveis aos servidores ativos e inativos do TJ RJ, conforme dados mais recentes do Portal da Transparência.
Auxílio-alimentação e refeição
O auxílio alimentação/refeição é um dos benefícios mais valorizados pelos servidores, concedido no valor mensal de R$ 1.620,00. O benefício visa custear despesas diárias com alimentação, contribuindo para o bem-estar e a rotina de trabalho dos profissionais do Judiciário fluminense.
Auxílio-saúde e plano de assistência médica
Os servidores do TJ RJ podem optar pelo auxílio-saúde, no valor mensal de até R$ 346,00, destinado ao reembolso de despesas com planos médicos ou odontológicos.
Entretanto, o Tribunal também oferece uma alternativa mais vantajosa: o plano de saúde AMIL Blue IV, que substitui o auxílio-saúde e é integralmente custeado pelo Poder Judiciário do Estado do Rio de Janeiro (PJERJ). O plano contempla tanto servidores ativos quanto aposentados, garantindo cobertura médica ampla e assistência de qualidade.
Auxílio-creche
Para quem possui filhos pequenos, o auxílio-creche representa um importante apoio financeiro. O benefício pode chegar a R$ 1.555,44 por mês, de acordo com o valor comprovado da mensalidade da instituição de ensino infantil. Esse auxílio contribui para que os servidores conciliem melhor a vida profissional e familiar.
Auxílio-adoção
Os servidores que acolhem crianças ou adolescentes por meio de guarda, tutela ou adoção também têm direito a um benefício especial. O auxílio-adoção é concedido conforme a faixa etária do adotado e o grau de necessidade, com valores que variam entre três e cinco salários mínimos.
Confira como funciona a tabela:
- 3 salários mínimos: crianças de 5 a menos de 8 anos;
- 4 salários mínimos: crianças de 8 a menos de 12 anos;
- 5 salários mínimos: adolescentes de 12 a 18 anos;
- 5 salários mínimos: crianças ou adolescentes com deficiência, portadores de HIV ou doenças graves que exijam acompanhamento médico constante.
Esse benefício reforça o compromisso social do TJ RJ em incentivar a adoção e o acolhimento responsável.
Auxílio-doença
Em casos de afastamento prolongado por motivo de saúde, o servidor pode solicitar o auxílio-doença, previsto para situações em que a licença médica ultrapassa 12 meses consecutivos. O pagamento é feito de forma integral e em parcela única, assegurando a estabilidade financeira durante o período de recuperação.
Auxílio-locomoção
O auxílio-locomoção é destinado a cobrir despesas com deslocamento diário. O valor é de R$ 23,00 por dia útil trabalhado, creditado mensalmente até o quinto dia útil do mês seguinte. Trata-se de um benefício essencial para quem atua presencialmente nas unidades do Tribunal em todo o estado.
Auxílio-funeral
Em situações de falecimento de servidor ativo, o TJ RJ garante o auxílio-funeral, no valor de R$ 2.876,96, pago como reembolso das despesas realizadas. O benefício assegura suporte financeiro à família no momento mais delicado, reafirmando o caráter humano e solidário da instituição.
Confira todas as informações sobre os editais do concurso TJ RJ, incluindo datas, requisitos, funções e provas no guia completo do TJ RJ!